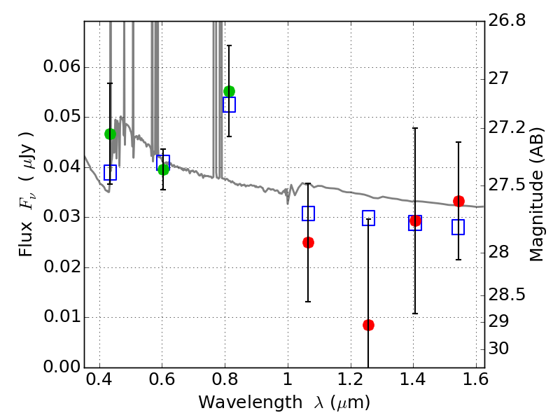
MACS0417-11 ACS+IR detection object #3068

Color images and BPZ results
Catalog: 3068.cat
Black segments are analyzed here.   Roll mouse over color images to view segments.
Best viewed in a wide browser window (1200 pixels or more).   Download SED & P(z) plots to view larger versions.
In P(z) plots: Yellow lines mark the cluster redshift z = 0.443,  

Object #3068   x,y = (3637, 2555)   RA, Dec = (04:17:29.568, -11:54:36.36) = (64.37320, -11.91010)   BPZ = 0.168 [0.091--3.044]   type = 11.00 (SB11_A_0_l)   stellarity = 0.03   chisq2 = 0.52   ODDS = 0.19   z_cluster = 0.443