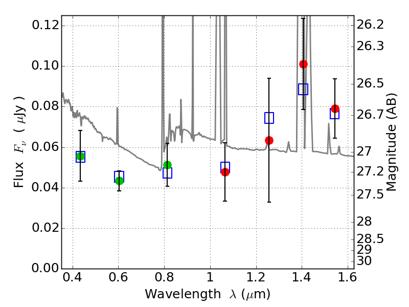
MACS0417-11 ACS+IR detection object #2894

Color images and BPZ results
Catalog: 2894.cat
Black segments are analyzed here.   Roll mouse over color images to view segments.
Best viewed in a wide browser window (1200 pixels or more).   Download SED & P(z) plots to view larger versions.
In P(z) plots: Yellow lines mark the cluster redshift z = 0.443,  

Object #2894   x,y = (2107, 2662)   RA, Dec = (04:17:35.832, -11:54:29.88) = (64.39930, -11.90830)   BPZ = 1.126 [0.653--2.715]   type = 10.70 (SB11_A_0_l - SB3_B10)   stellarity = 0.44   chisq2 = 0.16   ODDS = 0.12   z_cluster = 0.443