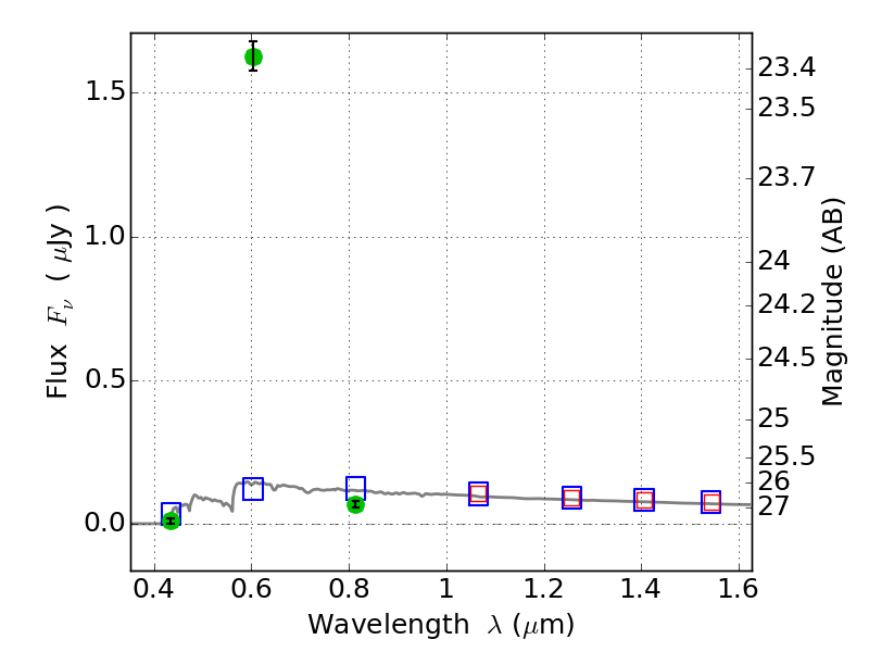
MACS0417-11 ACS+IR detection object #2526

Color images and BPZ results
Catalog: 2526.cat
Black segments are analyzed here.   Roll mouse over color images to view segments.
Best viewed in a wide browser window (1200 pixels or more).   Download SED & P(z) plots to view larger versions.
In P(z) plots: Yellow lines mark the cluster redshift z = 0.443,  

Object #2526   x,y = (993, 2857)   RA, Dec = (04:17:40.368, -11:54:18.00) = (64.41820, -11.90500)   BPZ = 3.620 [3.481--3.733]   type = 11.00 (SB11_A_0_l)   stellarity = 0.91   chisq2 = 910.40   ODDS = 0.99   z_cluster = 0.443