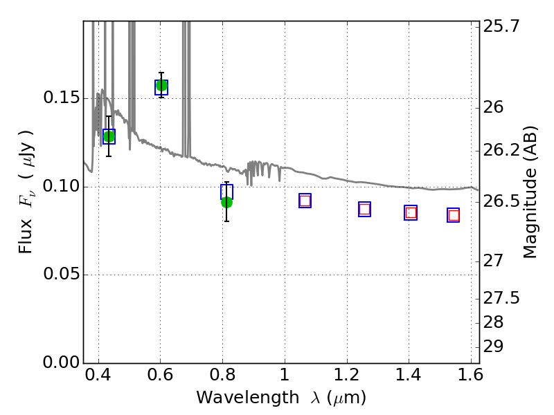
MACS0417-11 ACS+IR detection object #1733

Color images and BPZ results
Catalog: 1733.cat
Black segments are analyzed here.   Roll mouse over color images to view segments.
Best viewed in a wide browser window (1200 pixels or more).   Download SED & P(z) plots to view larger versions.
In P(z) plots: Yellow lines mark the cluster redshift z = 0.443,  

Object #1733   x,y = (1275, 3444)   RA, Dec = (04:17:39.216, -11:53:42.72) = (64.41340, -11.89520)   BPZ = 0.032 [0.012--2.898]   type = 11.00 (SB11_A_0_l)   stellarity = 0.17   chisq2 = 0.14   ODDS = 0.68   z_cluster = 0.443