MACS0417-11 ACS+IR detection object #1729

Color images and BPZ results
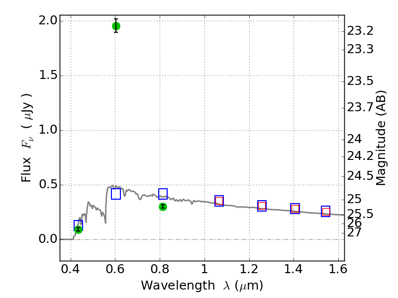
Catalog: 1729.cat
Black segments are analyzed here.   Roll mouse over color images to view segments.
Best viewed in a wide browser window (1200 pixels or more).   Download SED & P(z) plots to view larger versions.
In P(z) plots: Yellow lines mark the cluster redshift z = 0.443,  

Object #1729   x,y = (4079, 3537)   RA, Dec = (04:17:27.768, -11:53:37.32) = (64.36570, -11.89370)   BPZ = 3.590 [3.511--3.651]   type = 11.00 (SB11_A_0_l)   stellarity = 0.97   chisq2 = 527.90   ODDS = 1.00   z_cluster = 0.443