MACS0417-11 ACS+IR detection object #1092

Color images and BPZ results
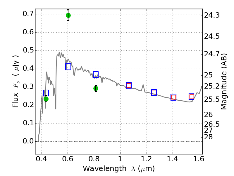
Catalog: 1092.cat
Black segments are analyzed here.   Roll mouse over color images to view segments.
Best viewed in a wide browser window (1200 pixels or more).   Download SED & P(z) plots to view larger versions.
In P(z) plots: Yellow lines mark the cluster redshift z = 0.443,  

Object #1092   x,y = (3897, 3925)   RA, Dec = (04:17:28.512, -11:53:13.92) = (64.36880, -11.88720)   BPZ = 3.192 [0.017--3.298]   type = 11.00 (SB11_A_0_l)   stellarity = 0.90   chisq2 = 55.24   ODDS = 0.89   z_cluster = 0.443