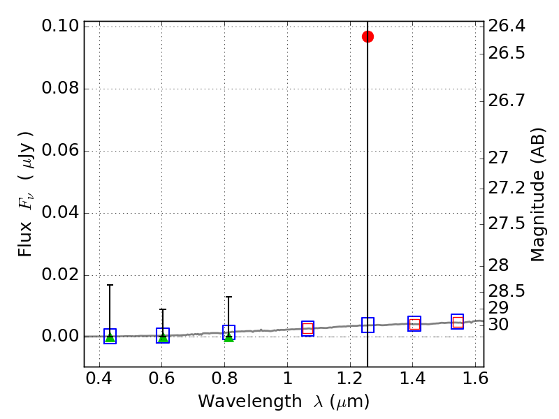
MACS0308+26 IR detection object #80

Color images and BPZ results
Catalog: 80.cat
Black segments are analyzed here.   Roll mouse over color images to view segments.
Best viewed in a wide browser window (1200 pixels or more).   Download SED & P(z) plots to view larger versions.
In P(z) plots: Yellow lines mark the cluster redshift z = 0.356,  

Object #80   x,y = (3136, 3388)   RA, Dec = (03:08:54.120, 26:46:35.40) = (47.22550, 26.77650)   BPZ = 0.829 [0.217--5.644]   type = 6.00 (Sbc_B10)   stellarity = 0.44   chisq2 = 900.00   ODDS = 0.07   z_cluster = 0.356