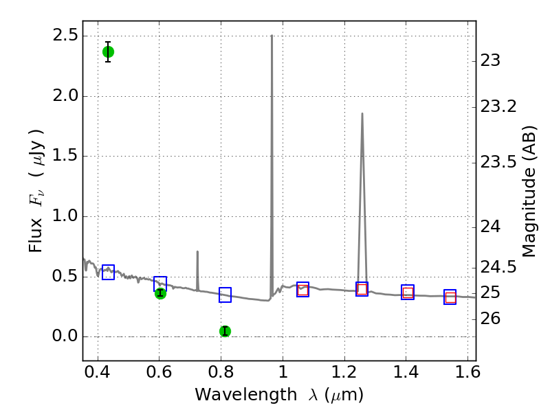
MACS0308+26 ACS+IR detection object #4995

Color images and BPZ results
Catalog: 4995.cat
Black segments are analyzed here.   Roll mouse over color images to view segments.
Best viewed in a wide browser window (1200 pixels or more).   Download SED & P(z) plots to view larger versions.
In P(z) plots: Yellow lines mark the cluster redshift z = 0.356,  

Object #4995   x,y = (3986, 520)   RA, Dec = (03:08:50.328, 26:43:43.32) = (47.20970, 26.72870)   BPZ = 1.592 [1.433--2.053]   type = 11.00 (SB11_A_0_l)   chisq2 = 454.20   ODDS = 0.71   z_cluster = 0.356