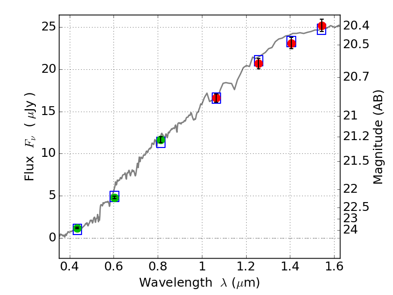
MACS0308+26 ACS+IR detection object #3861

Color images and BPZ results
Catalog: 3861.cat
Black segments are analyzed here.   Roll mouse over color images to view segments.
Best viewed in a wide browser window (1200 pixels or more).   Download SED & P(z) plots to view larger versions.
In P(z) plots: Yellow lines mark the cluster redshift z = 0.356,  

Object #3861   x,y = (3266, 1485)   RA, Dec = (03:08:53.544, 26:44:41.28) = (47.22310, 26.74480)   BPZ = 0.354 [0.281--0.397]   type = 4.10 (Ell4_A_0 - ES0_B10)   chisq2 = 0.04   ODDS = 0.93   z_cluster = 0.356