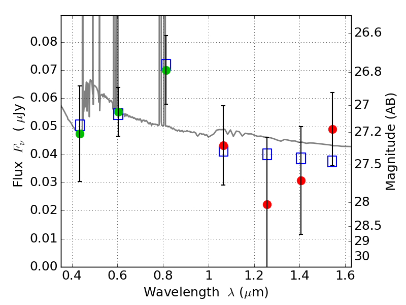
MACS0308+26 ACS+IR detection object #2476

Color images and BPZ results
Catalog: 2476.cat
Black segments are analyzed here.   Roll mouse over color images to view segments.
Best viewed in a wide browser window (1200 pixels or more).   Download SED & P(z) plots to view larger versions.
In P(z) plots: Yellow lines mark the cluster redshift z = 0.356,  

Object #2476   x,y = (3108, 2419)   RA, Dec = (03:08:54.264, 26:45:37.44) = (47.22610, 26.76040)   BPZ = 0.199 [0.100--3.479]   type = 11.00 (SB11_A_0_l)   chisq2 = 0.36   ODDS = 0.13   z_cluster = 0.356