MACS0308+26 IR detection object #63

Color images and BPZ results
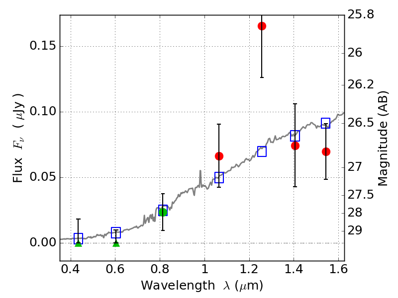
Catalog: 63.cat
Black segments are analyzed here.   Roll mouse over color images to view segments.
Best viewed in a wide browser window (1200 pixels or more).   Download SED & P(z) plots to view larger versions.
In P(z) plots: Yellow lines mark the cluster redshift z = 0.356,  

Object #63   x,y = (3053, 3428)   RA, Dec = (03:08:54.504, 26:46:37.92) = (47.22710, 26.77720)   BPZ = 0.958 [0.538--7.326]   type = 6.10 (Sbc_B10 - Scd_B10)   stellarity = 0.00   chisq2 = 1.92   ODDS = 0.09   z_cluster = 0.356