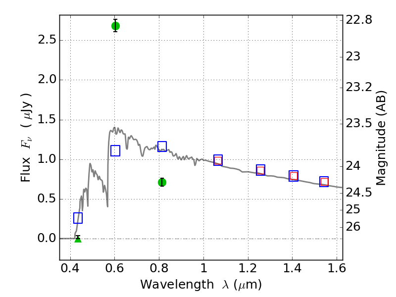
MACS0308+26 ACS+IR detection object #4996

Color images and BPZ results
Catalog: 4996.cat
Black segments are analyzed here.   Roll mouse over color images to view segments.
Best viewed in a wide browser window (1200 pixels or more).   Download SED & P(z) plots to view larger versions.
In P(z) plots: Yellow lines mark the cluster redshift z = 0.356,  

Object #4996   x,y = (3987, 532)   RA, Dec = (03:08:50.328, 26:43:44.04) = (47.20970, 26.72890)   BPZ = 3.682 [3.641--3.770]   type = 11.00 (SB11_A_0_l)   chisq2 = 231.80   ODDS = 1.00   z_cluster = 0.356