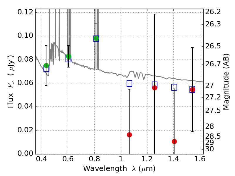
MACS0308+26 ACS+IR detection object #4512

Color images and BPZ results
Catalog: 4512.cat
Black segments are analyzed here.   Roll mouse over color images to view segments.
Best viewed in a wide browser window (1200 pixels or more).   Download SED & P(z) plots to view larger versions.
In P(z) plots: Yellow lines mark the cluster redshift z = 0.356,  

Object #4512   x,y = (3174, 1075)   RA, Dec = (03:08:53.952, 26:44:16.80) = (47.22480, 26.73800)   BPZ = 0.226 [0.082--3.217]   type = 11.00 (SB11_A_0_l)   chisq2 = 0.58   ODDS = 0.24   z_cluster = 0.356