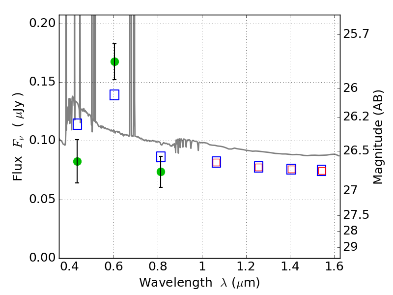
MACS0308+26 ACS+IR detection object #4455

Color images and BPZ results
Catalog: 4455.cat
Black segments are analyzed here.   Roll mouse over color images to view segments.
Best viewed in a wide browser window (1200 pixels or more).   Download SED & P(z) plots to view larger versions.
In P(z) plots: Yellow lines mark the cluster redshift z = 0.356,  

Object #4455   x,y = (935, 1122)   RA, Dec = (03:09:03.984, 26:44:19.32) = (47.26660, 26.73870)   BPZ = 0.032 [0.015--3.208]   type = 11.00 (SB11_A_0_l)   chisq2 = 5.52   ODDS = 0.27   z_cluster = 0.356