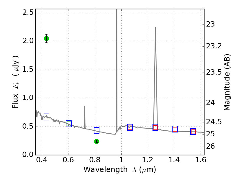
MACS0308+26 ACS+IR detection object #4308

Color images and BPZ results
Catalog: 4308.cat
Black segments are analyzed here.   Roll mouse over color images to view segments.
Best viewed in a wide browser window (1200 pixels or more).   Download SED & P(z) plots to view larger versions.
In P(z) plots: Yellow lines mark the cluster redshift z = 0.356,  

Object #4308   x,y = (543, 1213)   RA, Dec = (03:09:05.736, 26:44:25.08) = (47.27390, 26.74030)   BPZ = 1.593 [1.517--1.910]   type = 11.00 (SB11_A_0_l)   chisq2 = 263.70   ODDS = 0.86   z_cluster = 0.356