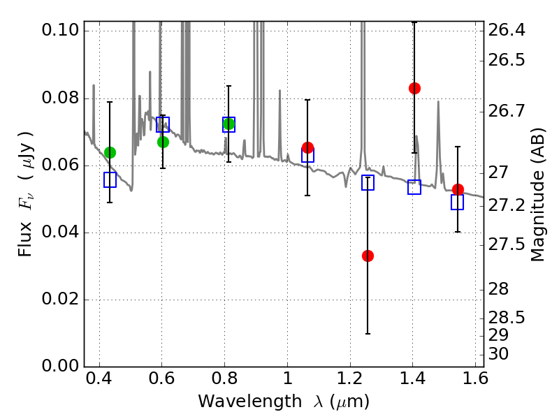
MACS0308+26 ACS+IR detection object #4183

Color images and BPZ results
Catalog: 4183.cat
Black segments are analyzed here.   Roll mouse over color images to view segments.
Best viewed in a wide browser window (1200 pixels or more).   Download SED & P(z) plots to view larger versions.
In P(z) plots: Yellow lines mark the cluster redshift z = 0.356,  

Object #4183   x,y = (2816, 1298)   RA, Dec = (03:08:55.560, 26:44:30.12) = (47.23150, 26.74170)   BPZ = 0.372 [0.145--3.217]   type = 10.70 (SB11_A_0_l - SB3_B10)   chisq2 = 0.92   ODDS = 0.11   z_cluster = 0.356