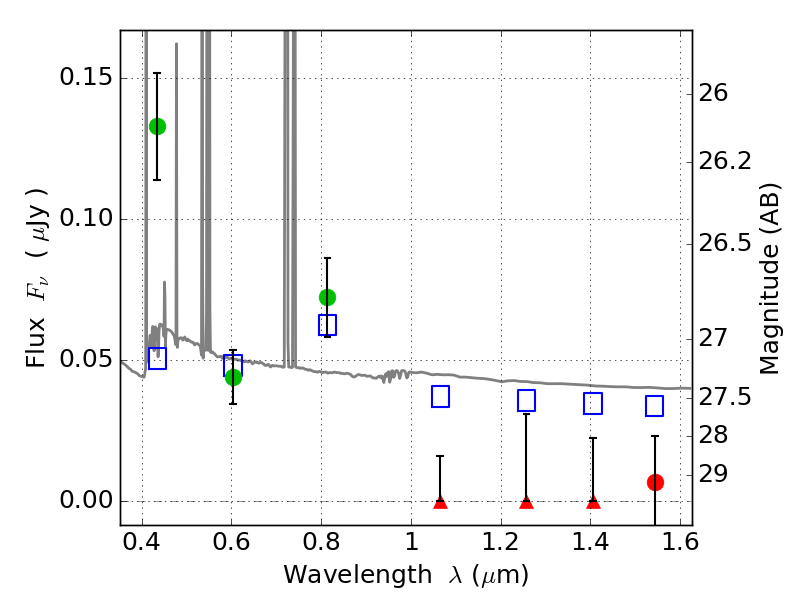
MACS0308+26 ACS+IR detection object #3566

Color images and BPZ results
Catalog: 3566.cat
Black segments are analyzed here.   Roll mouse over color images to view segments.
Best viewed in a wide browser window (1200 pixels or more).   Download SED & P(z) plots to view larger versions.
In P(z) plots: Yellow lines mark the cluster redshift z = 0.356,  

Object #3566   x,y = (2071, 1707)   RA, Dec = (03:08:58.896, 26:44:54.60) = (47.24540, 26.74850)   BPZ = 0.105 [0.078--2.708]   type = 11.00 (SB11_A_0_l)   chisq2 = 7.40   ODDS = 0.21   z_cluster = 0.356