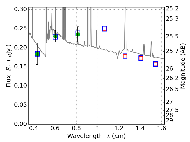
MACS0308+26 ACS+IR detection object #3499

Color images and BPZ results
Catalog: 3499.cat
Black segments are analyzed here.   Roll mouse over color images to view segments.
Best viewed in a wide browser window (1200 pixels or more).   Download SED & P(z) plots to view larger versions.
In P(z) plots: Yellow lines mark the cluster redshift z = 0.356,  

Object #3499   x,y = (695, 1747)   RA, Dec = (03:09:05.064, 26:44:57.12) = (47.27110, 26.74920)   BPZ = 0.386 [0.137--3.089]   type = 10.80 (SB11_A_0_l - SB3_B10)   chisq2 = 0.02   ODDS = 0.08   z_cluster = 0.356