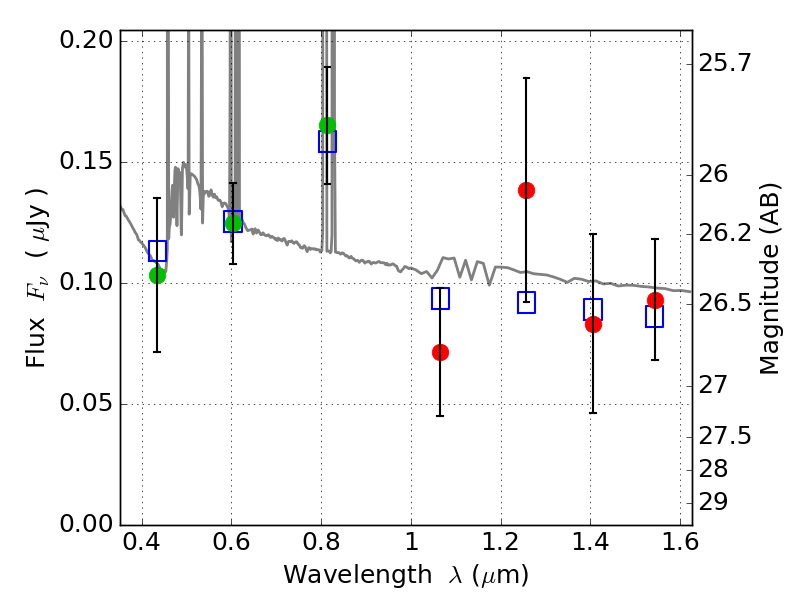
MACS0308+26 ACS+IR detection object #2881

Color images and BPZ results
Catalog: 2881.cat
Black segments are analyzed here.   Roll mouse over color images to view segments.
Best viewed in a wide browser window (1200 pixels or more).   Download SED & P(z) plots to view larger versions.
In P(z) plots: Yellow lines mark the cluster redshift z = 0.356,  

Object #2881   x,y = (2706, 2198)   RA, Dec = (03:08:56.064, 26:45:24.12) = (47.23360, 26.75670)   BPZ = 0.235 [0.095--3.335]   type = 11.00 (SB11_A_0_l)   chisq2 = 0.45   ODDS = 0.30   z_cluster = 0.356