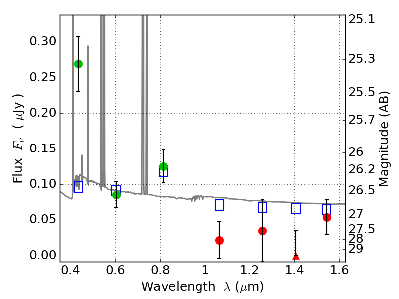
MACS0308+26 ACS+IR detection object #2561

Color images and BPZ results
Catalog: 2561.cat
Black segments are analyzed here.   Roll mouse over color images to view segments.
Best viewed in a wide browser window (1200 pixels or more).   Download SED & P(z) plots to view larger versions.
In P(z) plots: Yellow lines mark the cluster redshift z = 0.356,  

Object #2561   x,y = (2578, 2375)   RA, Dec = (03:08:56.640, 26:45:34.56) = (47.23600, 26.75960)   BPZ = 0.100 [0.081--2.729]   type = 11.00 (SB11_A_0_l)   chisq2 = 6.83   ODDS = 0.15   z_cluster = 0.356