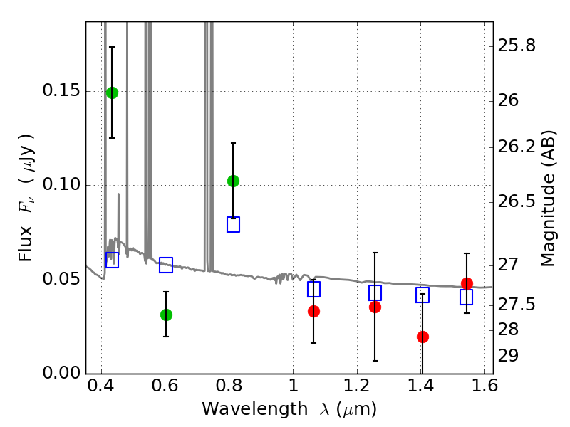
MACS0308+26 ACS+IR detection object #2500

Color images and BPZ results
Catalog: 2500.cat
Black segments are analyzed here.   Roll mouse over color images to view segments.
Best viewed in a wide browser window (1200 pixels or more).   Download SED & P(z) plots to view larger versions.
In P(z) plots: Yellow lines mark the cluster redshift z = 0.356,  

Object #2500   x,y = (2510, 2412)   RA, Dec = (03:08:56.928, 26:45:36.72) = (47.23720, 26.76020)   BPZ = 0.108 [0.096--2.636]   type = 11.00 (SB11_A_0_l)   chisq2 = 4.94   ODDS = 0.12   z_cluster = 0.356