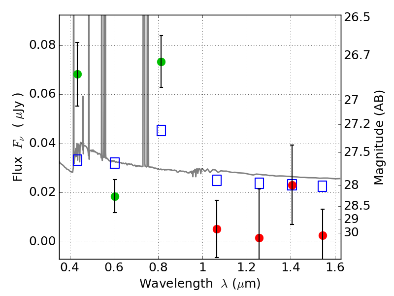
MACS0308+26 ACS+IR detection object #2498

Color images and BPZ results
Catalog: 2498.cat
Black segments are analyzed here.   Roll mouse over color images to view segments.
Best viewed in a wide browser window (1200 pixels or more).   Download SED & P(z) plots to view larger versions.
In P(z) plots: Yellow lines mark the cluster redshift z = 0.356,  

Object #2498   x,y = (3887, 2412)   RA, Dec = (03:08:50.760, 26:45:36.72) = (47.21150, 26.76020)   BPZ = 0.116 [0.085--2.143]   type = 11.00 (SB11_A_0_l)   chisq2 = 6.02   ODDS = 0.55   z_cluster = 0.356