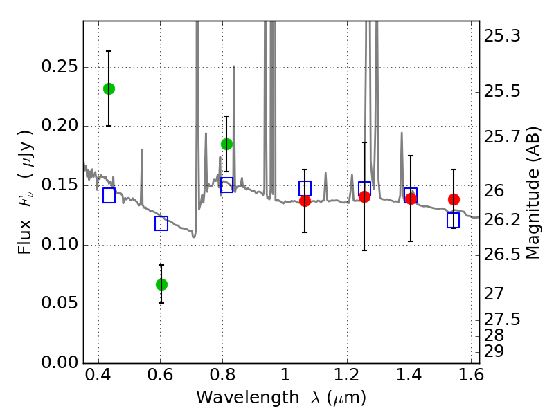
MACS0308+26 ACS+IR detection object #2362

Color images and BPZ results
Catalog: 2362.cat
Black segments are analyzed here.   Roll mouse over color images to view segments.
Best viewed in a wide browser window (1200 pixels or more).   Download SED & P(z) plots to view larger versions.
In P(z) plots: Yellow lines mark the cluster redshift z = 0.356,  

Object #2362   x,y = (2906, 2494)   RA, Dec = (03:08:55.152, 26:45:41.76) = (47.22980, 26.76160)   BPZ = 0.927 [0.650--1.260]   type = 10.50 (SB11_A_0_l - SB3_B10)   chisq2 = 4.32   ODDS = 0.59   z_cluster = 0.356