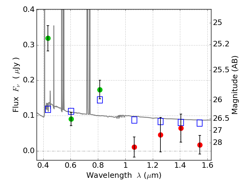
MACS0308+26 ACS+IR detection object #2256

Color images and BPZ results
Catalog: 2256.cat
Black segments are analyzed here.   Roll mouse over color images to view segments.
Best viewed in a wide browser window (1200 pixels or more).   Download SED & P(z) plots to view larger versions.
In P(z) plots: Yellow lines mark the cluster redshift z = 0.356,  

Object #2256   x,y = (2863, 2561)   RA, Dec = (03:08:55.368, 26:45:45.72) = (47.23070, 26.76270)   BPZ = 0.102 [0.080--2.508]   type = 11.00 (SB11_A_0_l)   chisq2 = 10.74   ODDS = 0.42   z_cluster = 0.356