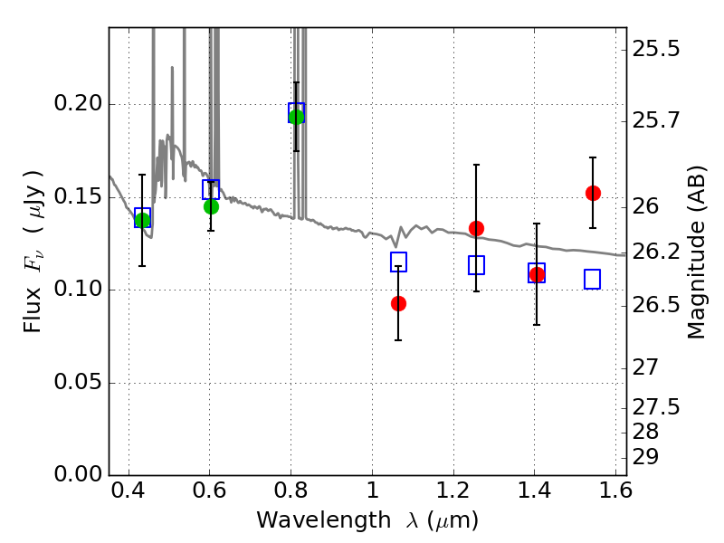
MACS0308+26 ACS+IR detection object #2174

Color images and BPZ results
Catalog: 2174.cat
Black segments are analyzed here.   Roll mouse over color images to view segments.
Best viewed in a wide browser window (1200 pixels or more).   Download SED & P(z) plots to view larger versions.
In P(z) plots: Yellow lines mark the cluster redshift z = 0.356,  

Object #2174   x,y = (2174, 2651)   RA, Dec = (03:08:58.440, 26:45:51.12) = (47.24350, 26.76420)   BPZ = 0.238 [0.104--3.126]   type = 11.00 (SB11_A_0_l)   chisq2 = 1.36   ODDS = 0.28   z_cluster = 0.356