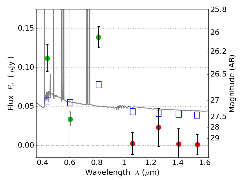
MACS0308+26 ACS+IR detection object #2059

Color images and BPZ results
Catalog: 2059.cat
Black segments are analyzed here.   Roll mouse over color images to view segments.
Best viewed in a wide browser window (1200 pixels or more).   Download SED & P(z) plots to view larger versions.
In P(z) plots: Yellow lines mark the cluster redshift z = 0.356,  

Object #2059   x,y = (3448, 2704)   RA, Dec = (03:08:52.728, 26:45:54.36) = (47.21970, 26.76510)   BPZ = 0.114 [0.087--0.215]   type = 11.00 (SB11_A_0_l)   chisq2 = 12.42   ODDS = 0.82   z_cluster = 0.356