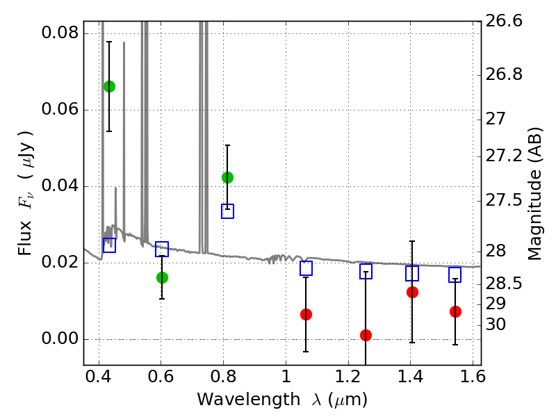
MACS0308+26 ACS+IR detection object #1815

Color images and BPZ results
Catalog: 1815.cat
Black segments are analyzed here.   Roll mouse over color images to view segments.
Best viewed in a wide browser window (1200 pixels or more).   Download SED & P(z) plots to view larger versions.
In P(z) plots: Yellow lines mark the cluster redshift z = 0.356,  

Object #1815   x,y = (2812, 2966)   RA, Dec = (03:08:55.584, 26:46:10.20) = (47.23160, 26.76950)   BPZ = 0.114 [0.087--2.739]   type = 11.00 (SB11_A_0_l)   chisq2 = 4.59   ODDS = 0.21   z_cluster = 0.356