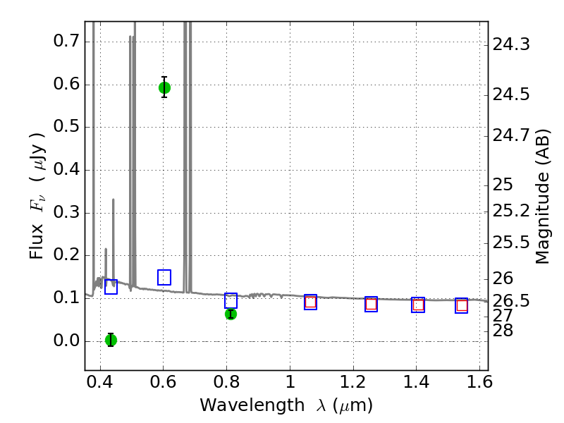
MACS0308+26 ACS+IR detection object #144

Color images and BPZ results
Catalog: 144.cat
Black segments are analyzed here.   Roll mouse over color images to view segments.
Best viewed in a wide browser window (1200 pixels or more).   Download SED & P(z) plots to view larger versions.
In P(z) plots: Yellow lines mark the cluster redshift z = 0.356,  

Object #144   x,y = (1099, 4406)   RA, Dec = (03:09:03.264, 26:47:36.60) = (47.26360, 26.79350)   BPZ = 0.017 [0.010--3.626]   type = 11.00 (SB11_A_0_l)   chisq2 = 343.60   ODDS = 0.56   z_cluster = 0.356