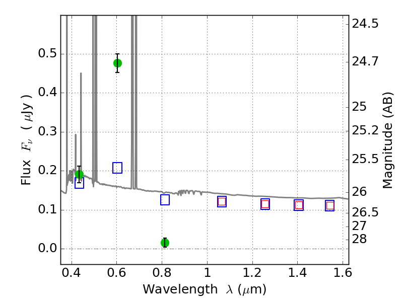
MACS0308+26 ACS+IR detection object #1411

Color images and BPZ results
Catalog: 1411.cat
Black segments are analyzed here.   Roll mouse over color images to view segments.
Best viewed in a wide browser window (1200 pixels or more).   Download SED & P(z) plots to view larger versions.
In P(z) plots: Yellow lines mark the cluster redshift z = 0.356,  

Object #1411   x,y = (907, 3199)   RA, Dec = (03:09:04.128, 26:46:24.24) = (47.26720, 26.77340)   BPZ = 0.018 [0.010--0.037]   type = 11.00 (SB11_A_0_l)   chisq2 = 133.90   ODDS = 1.00   z_cluster = 0.356