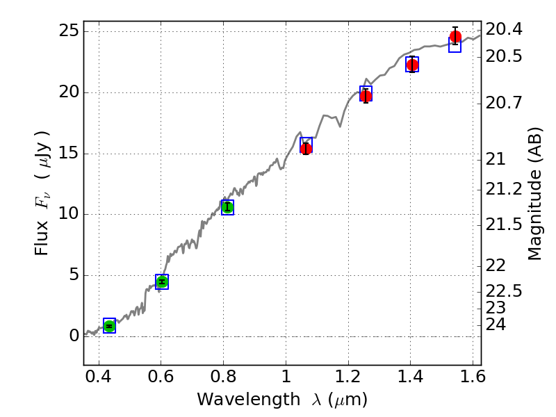
MACS0308+26 ACS+IR detection object #1406

Color images and BPZ results
Catalog: 1406.cat
Black segments are analyzed here.   Roll mouse over color images to view segments.
Best viewed in a wide browser window (1200 pixels or more).   Download SED & P(z) plots to view larger versions.
In P(z) plots: Yellow lines mark the cluster redshift z = 0.356,  

Object #1406   x,y = (3240, 3186)   RA, Dec = (03:08:53.664, 26:46:23.52) = (47.22360, 26.77320)   BPZ = 0.385 [0.299--0.425]   type = 4.10 (Ell4_A_0 - ES0_B10)   chisq2 = 0.05   ODDS = 0.88   z_cluster = 0.356