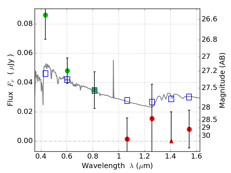
MACS0308+26 ACS+IR detection object #1254

Color images and BPZ results
Catalog: 1254.cat
Black segments are analyzed here.   Roll mouse over color images to view segments.
Best viewed in a wide browser window (1200 pixels or more).   Download SED & P(z) plots to view larger versions.
In P(z) plots: Yellow lines mark the cluster redshift z = 0.356,  

Object #1254   x,y = (3037, 3410)   RA, Dec = (03:08:54.576, 26:46:36.84) = (47.22740, 26.77690)   BPZ = 2.432 [0.051--2.981]   type = 11.00 (SB11_A_0_l)   chisq2 = 3.58   ODDS = 0.24   z_cluster = 0.356