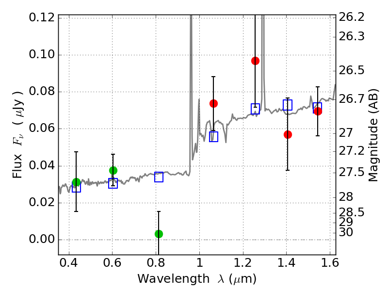
MACS0308+26 ACS+IR detection object #1240

Color images and BPZ results
Catalog: 1240.cat
Black segments are analyzed here.   Roll mouse over color images to view segments.
Best viewed in a wide browser window (1200 pixels or more).   Download SED & P(z) plots to view larger versions.
In P(z) plots: Yellow lines mark the cluster redshift z = 0.356,  

Object #1240   x,y = (2294, 3335)   RA, Dec = (03:08:57.912, 26:46:32.16) = (47.24130, 26.77560)   BPZ = 1.585 [0.690--2.668]   type = 9.30 (SB2_B10 - SB3_B10)   chisq2 = 2.29   ODDS = 0.30   z_cluster = 0.356