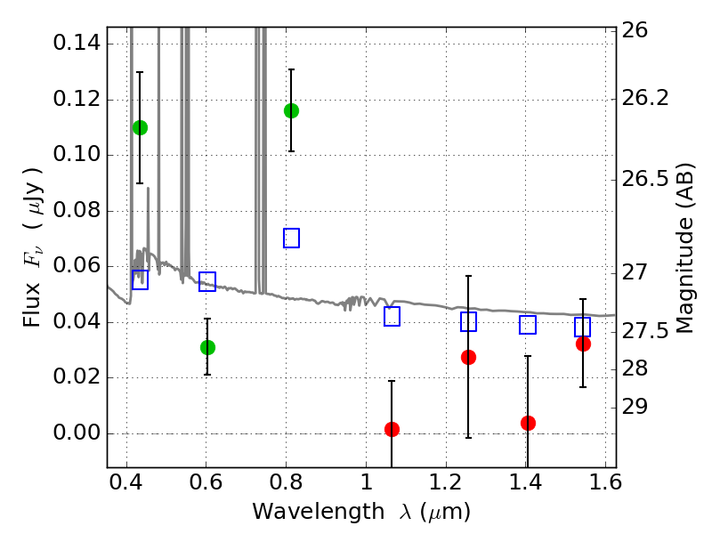
MACS0308+26 ACS+IR detection object #1132

Color images and BPZ results
Catalog: 1132.cat
Black segments are analyzed here.   Roll mouse over color images to view segments.
Best viewed in a wide browser window (1200 pixels or more).   Download SED & P(z) plots to view larger versions.
In P(z) plots: Yellow lines mark the cluster redshift z = 0.356,  

Object #1132   x,y = (2483, 3422)   RA, Dec = (03:08:57.048, 26:46:37.56) = (47.23770, 26.77710)   BPZ = 0.115 [0.086--0.941]   type = 11.00 (SB11_A_0_l)   chisq2 = 6.94   ODDS = 0.63   z_cluster = 0.356