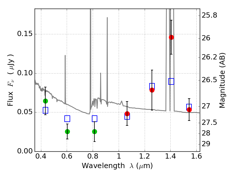
MACS0308+26 ACS+IR detection object #1104

Color images and BPZ results
Catalog: 1104.cat
Black segments are analyzed here.   Roll mouse over color images to view segments.
Best viewed in a wide browser window (1200 pixels or more).   Download SED & P(z) plots to view larger versions.
In P(z) plots: Yellow lines mark the cluster redshift z = 0.356,  

Object #1104   x,y = (2997, 3436)   RA, Dec = (03:08:54.744, 26:46:38.28) = (47.22810, 26.77730)   BPZ = 1.103 [0.784--2.337]   type = 11.00 (SB11_A_0_l)   chisq2 = 2.58   ODDS = 0.15   z_cluster = 0.356