MACS0257-23 ACS+IR detection object #3183

Color images and BPZ results
Catalog: 3183.cat
Black segments are analyzed here.   Roll mouse over color images to view segments.
Best viewed in a wide browser window (1200 pixels or more).   Download SED & P(z) plots to view larger versions.
In P(z) plots: Yellow lines mark the cluster redshift z = 0.505,  

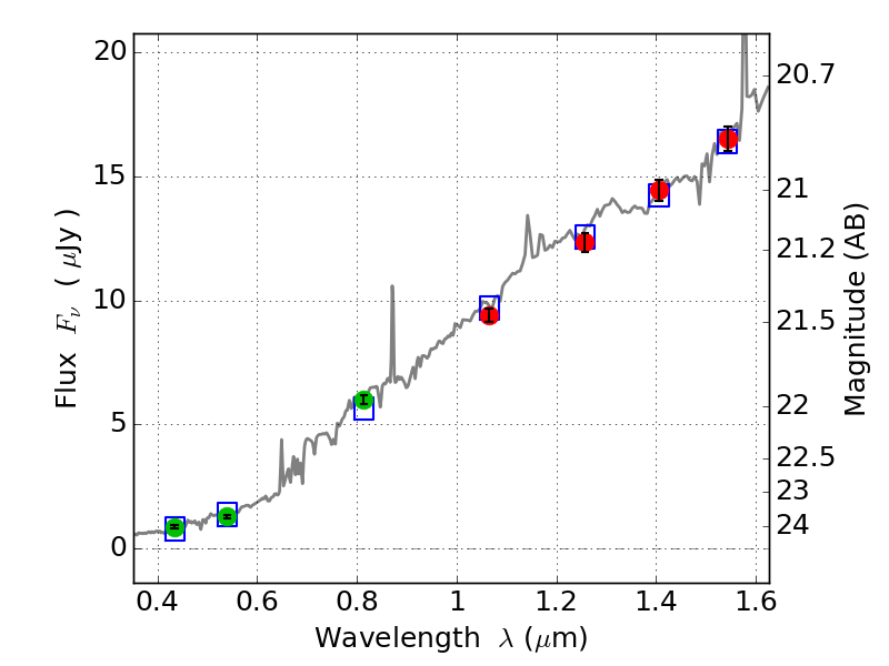
Object #3183   x,y = (2704, 2649)   RA, Dec = (02:57:09.384, -23:26:02.76) = (44.28910, -23.43410)   BPZ = 0.739 [0.564--0.799]   type = 6.30 (Sbc_B10 - Scd_B10)   stellarity = 0.17   chisq2 = 0.06   ODDS = 0.57   z_cluster = 0.505