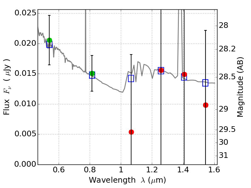
MACS0257-23 ACS+IR detection object #3549

Color images and BPZ results
Catalog: 3549.cat
Black segments are analyzed here.   Roll mouse over color images to view segments.
Best viewed in a wide browser window (1200 pixels or more).   Download SED & P(z) plots to view larger versions.
In P(z) plots: Yellow lines mark the cluster redshift z = 0.505,  

Object #3549   x,y = (1610, 2586)   RA, Dec = (02:57:15.264, -23:26:21.48) = (44.31360, -23.43930)   BPZ = 1.762 [0.191--3.488]   type = 11.00 (SB11_A_0_l)   chisq2 = 0.13   ODDS = 0.10   z_cluster = 0.505