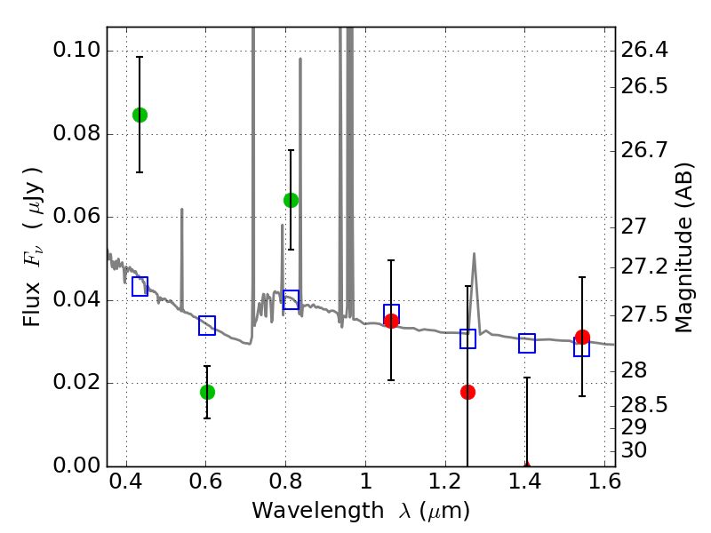
MACS0159-08 ACS+IR detection object #2676

Color images and BPZ results
Catalog: 2676.cat
Black segments are analyzed here.   Roll mouse over color images to view segments.
Best viewed in a wide browser window (1200 pixels or more).   Download SED & P(z) plots to view larger versions.
In P(z) plots: Yellow lines mark the cluster redshift z = 0.405,  

Object #2676   x,y = (2898, 2952)   RA, Dec = (01:59:48.720, -8:49:51.60) = (29.95300, -8.83100)   BPZ = 0.928 [0.112--2.438]   type = 11.00 (SB11_A_0_l)   stellarity = 0.00   chisq2 = 4.96   ODDS = 0.25   z_cluster = 0.405