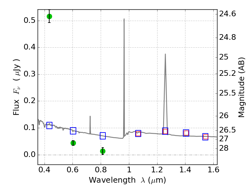
MACS0159-08 ACS+IR detection object #922

Color images and BPZ results
Catalog: 922.cat
Black segments are analyzed here.   Roll mouse over color images to view segments.
Best viewed in a wide browser window (1200 pixels or more).   Download SED & P(z) plots to view larger versions.
In P(z) plots: Yellow lines mark the cluster redshift z = 0.405,  

Object #922   x,y = (1882, 4328)   RA, Dec = (01:59:52.824, -8:48:29.16) = (29.97010, -8.80810)   BPZ = 1.590 [1.281--2.153]   type = 11.00 (SB11_A_0_l)   stellarity = 0.97   chisq2 = 301.80   ODDS = 0.40   z_cluster = 0.405