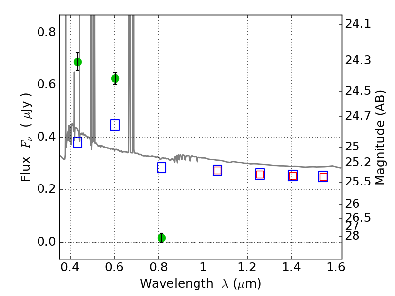
MACS0159-08 ACS+IR detection object #843

Color images and BPZ results
Catalog: 843.cat
Black segments are analyzed here.   Roll mouse over color images to view segments.
Best viewed in a wide browser window (1200 pixels or more).   Download SED & P(z) plots to view larger versions.
In P(z) plots: Yellow lines mark the cluster redshift z = 0.405,  

Object #843   x,y = (1951, 4417)   RA, Dec = (01:59:52.560, -8:48:23.76) = (29.96900, -8.80660)   BPZ = 0.017 [0.010--0.033]   type = 11.00 (SB11_A_0_l)   stellarity = 0.92   chisq2 = 132.10   ODDS = 1.00   z_cluster = 0.405