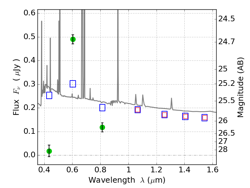
MACS0159-08 ACS+IR detection object #7685

Color images and BPZ results
Catalog: 7685.cat
Black segments are analyzed here.   Roll mouse over color images to view segments.
Best viewed in a wide browser window (1200 pixels or more).   Download SED & P(z) plots to view larger versions.
In P(z) plots: Yellow lines mark the cluster redshift z = 0.405,  

Object #7685   x,y = (3524, 1011)   RA, Dec = (01:59:46.176, -8:51:47.88) = (29.94240, -8.86330)   BPZ = 0.017 [0.011--3.630]   type = 10.80 (SB11_A_0_l - SB3_B10)   stellarity = 0.92   chisq2 = 108.30   ODDS = 0.22   z_cluster = 0.405