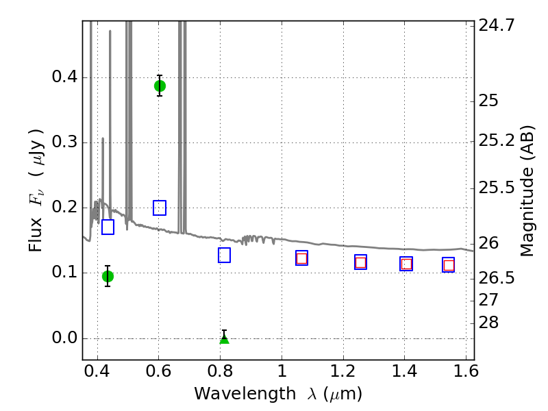
MACS0159-08 ACS+IR detection object #7027

Color images and BPZ results
Catalog: 7027.cat
Black segments are analyzed here.   Roll mouse over color images to view segments.
Best viewed in a wide browser window (1200 pixels or more).   Download SED & P(z) plots to view larger versions.
In P(z) plots: Yellow lines mark the cluster redshift z = 0.405,  

Object #7027   x,y = (3808, 1388)   RA, Dec = (01:59:45.024, -8:51:25.56) = (29.93760, -8.85710)   BPZ = 0.017 [0.010--0.034]   type = 11.00 (SB11_A_0_l)   stellarity = 0.97   chisq2 = 146.00   ODDS = 1.00   z_cluster = 0.405