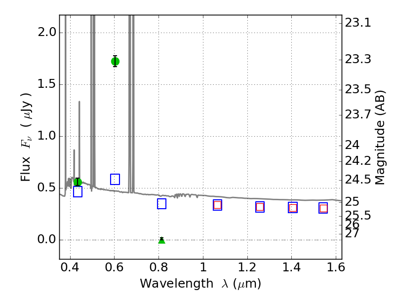
MACS0159-08 ACS+IR detection object #682

Color images and BPZ results
Catalog: 682.cat
Black segments are analyzed here.   Roll mouse over color images to view segments.
Best viewed in a wide browser window (1200 pixels or more).   Download SED & P(z) plots to view larger versions.
In P(z) plots: Yellow lines mark the cluster redshift z = 0.405,  

Object #682   x,y = (2065, 4555)   RA, Dec = (01:59:52.104, -8:48:15.48) = (29.96710, -8.80430)   BPZ = 0.016 [0.010--0.031]   type = 11.00 (SB11_A_0_l)   stellarity = 1.00   chisq2 = 367.20   ODDS = 1.00   z_cluster = 0.405