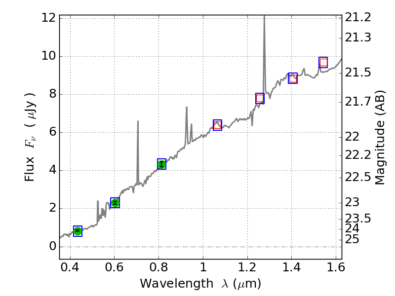
MACS0159-08 ACS+IR detection object #6410

Color images and BPZ results
Catalog: 6410.cat
Black segments are analyzed here.   Roll mouse over color images to view segments.
Best viewed in a wide browser window (1200 pixels or more).   Download SED & P(z) plots to view larger versions.
In P(z) plots: Yellow lines mark the cluster redshift z = 0.405,  

Object #6410   x,y = (1624, 1706)   RA, Dec = (01:59:53.880, -8:51:06.48) = (29.97450, -8.85180)   BPZ = 0.411 [0.135--0.496]   type = 6.60 (Scd_B10 - Sbc_B10)   stellarity = 0.03   chisq2 = 0.00   ODDS = 0.44   z_cluster = 0.405