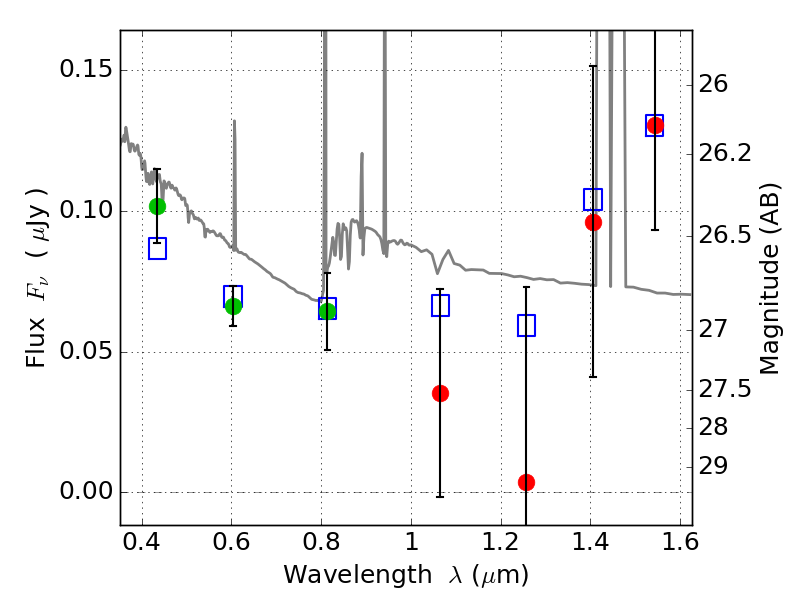
MACS0159-08 ACS+IR detection object #6268

Color images and BPZ results
Catalog: 6268.cat
Black segments are analyzed here.   Roll mouse over color images to view segments.
Best viewed in a wide browser window (1200 pixels or more).   Download SED & P(z) plots to view larger versions.
In P(z) plots: Yellow lines mark the cluster redshift z = 0.405,  

Object #6268   x,y = (1708, 1772)   RA, Dec = (01:59:53.544, -8:51:02.52) = (29.97310, -8.85070)   BPZ = 1.174 [1.018--2.481]   type = 11.00 (SB11_A_0_l)   stellarity = 0.00   chisq2 = 0.58   ODDS = 0.16   z_cluster = 0.405