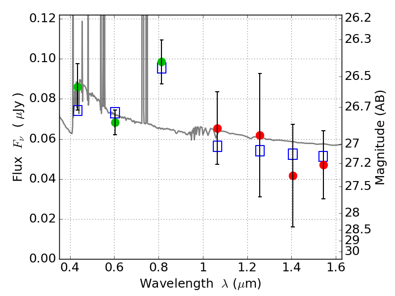
MACS0159-08 ACS+IR detection object #6010

Color images and BPZ results
Catalog: 6010.cat
Black segments are analyzed here.   Roll mouse over color images to view segments.
Best viewed in a wide browser window (1200 pixels or more).   Download SED & P(z) plots to view larger versions.
In P(z) plots: Yellow lines mark the cluster redshift z = 0.405,  

Object #6010   x,y = (2076, 1912)   RA, Dec = (01:59:52.056, -8:50:53.88) = (29.96690, -8.84830)   BPZ = 0.107 [0.087--1.064]   type = 11.00 (SB11_A_0_l)   stellarity = 0.00   chisq2 = 0.41   ODDS = 0.28   z_cluster = 0.405