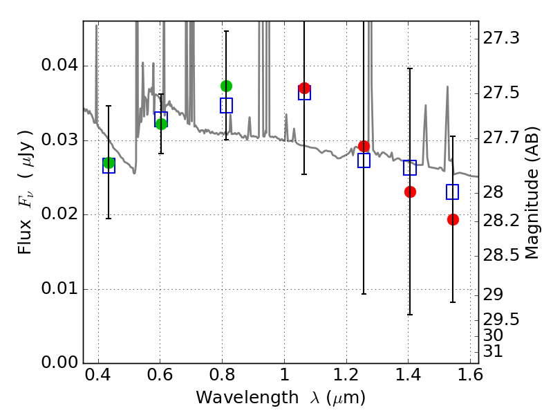
MACS0159-08 ACS+IR detection object #5597

Color images and BPZ results
Catalog: 5597.cat
Black segments are analyzed here.   Roll mouse over color images to view segments.
Best viewed in a wide browser window (1200 pixels or more).   Download SED & P(z) plots to view larger versions.
In P(z) plots: Yellow lines mark the cluster redshift z = 0.405,  

Object #5597   x,y = (3628, 2130)   RA, Dec = (01:59:45.768, -8:50:40.92) = (29.94070, -8.84470)   BPZ = 0.414 [0.102--3.367]   type = 10.70 (SB11_A_0_l - SB3_B10)   stellarity = 0.52   chisq2 = 0.07   ODDS = 0.15   z_cluster = 0.405