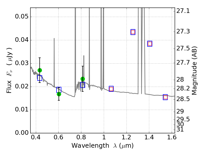
MACS0159-08 ACS+IR detection object #4925

Color images and BPZ results
Catalog: 4925.cat
Black segments are analyzed here.   Roll mouse over color images to view segments.
Best viewed in a wide browser window (1200 pixels or more).   Download SED & P(z) plots to view larger versions.
In P(z) plots: Yellow lines mark the cluster redshift z = 0.405,  

Object #4925   x,y = (886, 2435)   RA, Dec = (01:59:56.856, -8:50:22.56) = (29.98690, -8.83960)   BPZ = 1.007 [0.441--2.617]   type = 11.00 (SB11_A_0_l)   stellarity = 0.06   chisq2 = 0.72   ODDS = 0.12   z_cluster = 0.405