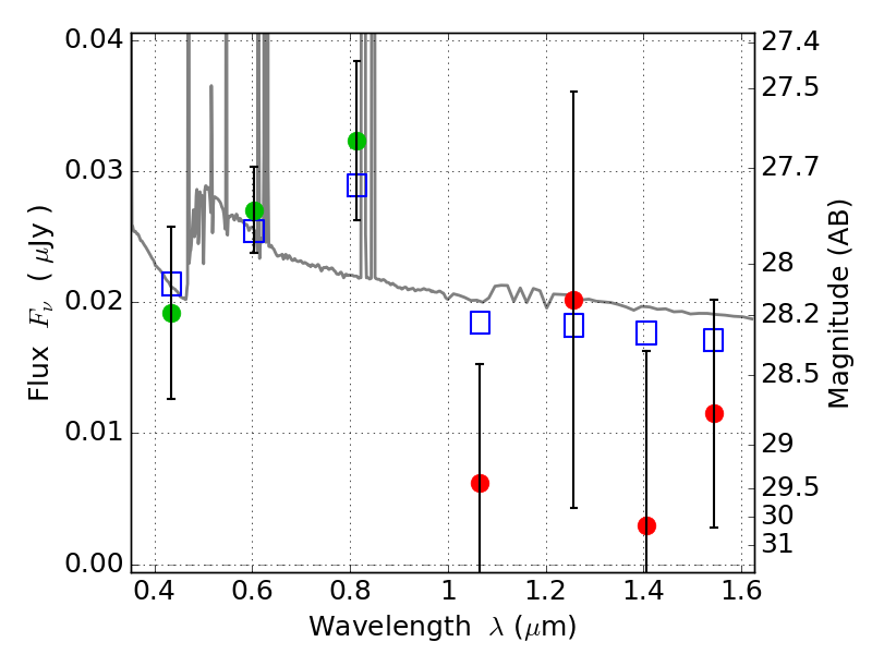
MACS0159-08 ACS+IR detection object #4788

Color images and BPZ results
Catalog: 4788.cat
Black segments are analyzed here.   Roll mouse over color images to view segments.
Best viewed in a wide browser window (1200 pixels or more).   Download SED & P(z) plots to view larger versions.
In P(z) plots: Yellow lines mark the cluster redshift z = 0.405,  

Object #4788   x,y = (3020, 2442)   RA, Dec = (01:59:48.216, -8:50:22.20) = (29.95090, -8.83950)   BPZ = 0.265 [0.076--3.487]   type = 11.00 (SB11_A_0_l)   stellarity = 0.73   chisq2 = 0.98   ODDS = 0.20   z_cluster = 0.405