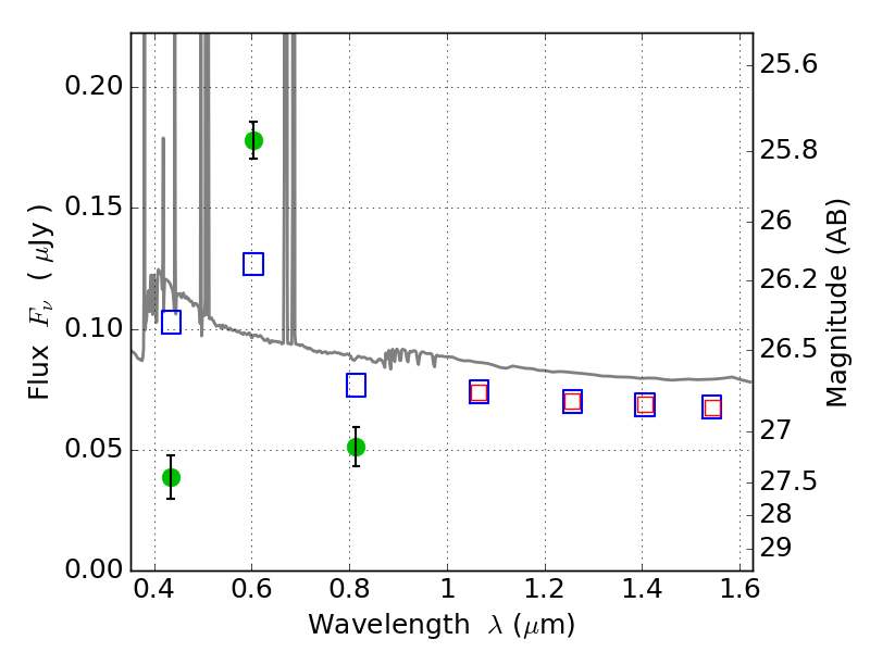
MACS0159-08 ACS+IR detection object #3795

Color images and BPZ results
Catalog: 3795.cat
Black segments are analyzed here.   Roll mouse over color images to view segments.
Best viewed in a wide browser window (1200 pixels or more).   Download SED & P(z) plots to view larger versions.
In P(z) plots: Yellow lines mark the cluster redshift z = 0.405,  

Object #3795   x,y = (4791, 2865)   RA, Dec = (01:59:41.064, -8:49:56.64) = (29.92110, -8.83240)   BPZ = 0.018 [0.010--3.344]   type = 11.00 (SB11_A_0_l)   stellarity = 0.81   chisq2 = 51.49   ODDS = 0.95   z_cluster = 0.405