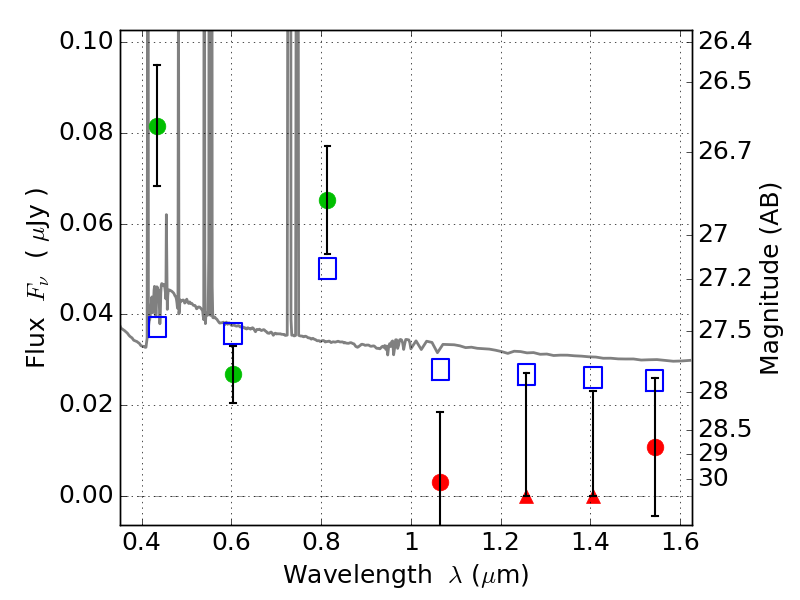
MACS0159-08 ACS+IR detection object #3711

Color images and BPZ results
Catalog: 3711.cat
Black segments are analyzed here.   Roll mouse over color images to view segments.
Best viewed in a wide browser window (1200 pixels or more).   Download SED & P(z) plots to view larger versions.
In P(z) plots: Yellow lines mark the cluster redshift z = 0.405,  

Object #3711   x,y = (2955, 2848)   RA, Dec = (01:59:48.480, -8:49:57.72) = (29.95200, -8.83270)   BPZ = 0.109 [0.087--2.630]   type = 11.00 (SB11_A_0_l)   stellarity = 0.00   chisq2 = 4.78   ODDS = 0.24   z_cluster = 0.405